Calculadora de margen de error
Escribe el tamaño de la muestra para calcular el margen de error. En esta página también encontrarás una explicación detallada de los parámetros y las fórmulas que se utilizan para calcular el margen de error de una muestra.
Utiliza la calculadora de tamaño de muestra para obtener la cantidad de casos que necesitas para alcanzar un margen de error dado.
Tabla de Contenido
- ¿Qué es la población total o tamaño del universo?
- ¿Qué es el nivel de confianza?
- ¿Qué es la probabilidad de éxito/fracaso?
- Fórmula para calcular el margen de error de una población infinita
- Fórmula para calcular el margen de error de una población finita
¿Qué es la población total o tamaño del universo?
El tamaño del universo y la población total son lo mismo. Se refieren a la cantidad total de personas que conforman el grupo que estás midiendo. Este parámetro solo afecta al margen de error de manera significativa cuando estudias grupos pequeños, que tienen unos pocos cientos o miles de personas. Cuando el tamaño del universo es grande, de decenas o cientos de miles de personas, el margen de error varía muy poco o nada a medida que aumenta la población total.
Veamos un ejemplo y utilicemos la calculadora para entenderlo mejor. Digamos que consigues una muestra de 400 casos de una comunidad de mil habitantes. Calcula el margen de error introduciendo los siguientes valores en la calculadora de arriba:
- Tamaño de la muestra: 400
- Población total: 1,000
- Nivel de confianza: 95%
- Probabilidad de éxito/fracaso: 50%
El margen error de esta muestra es 3.80%. Pero ¿cuál sería el margen de error si estos mismos 400 casos pertenecieran a una ciudad de un millón de habitantes?
- Tamaño de la muestra: 400
- Población total: 1,000,000
- Nivel de confianza: 95%
- Probabilidad de éxito/fracaso: 50%
Ahora el margen de error se incrementa y llega a 4.9%. En la siguiente tabla puedes observar cómo varía el margen de error de esta muestra de 400 casos a medida que aumentamos la población total.
| Tamaño de la muestra | Población total | Margen de error |
|---|---|---|
| 400 | 1,000 | 3.80 |
| 400 | 2,000 | 4.38 |
| 400 | 10,000 | 4.80 |
| 400 | 50,000 | 4.88 |
| 400 | 100,000 | 4.89 |
| 400 | 200,000 | 4.90 |
| 400 | 500,000 | 4.90 |
| 400 | 1,000,000 | 4.90 |
Para poblaciones totales entre 200 mil y un millón de personas vemos el mismo margen de error de 4.90%, y éste no variará si seguimos aumentando el tamaño del universo. De hecho, para las poblaciones totales de 10 mil personas en adelante el margen de error solo pasa de 4.80% a 4.90%, una diferencia despreciable.
El tamaño del universo solo es relevante cuando hablamos de poblaciones muy pequeñas. Resulta obvio que, si conocemos la opinión de 400 personas de una comunidad de mil habitantes, tendremos una idea más precisa de lo que piensa la mayoría que si se tratase de una ciudad de 1 millón de habitantes, y por ende nuestro margen de error es menor.
Cuando haces estudios electorales, que es el mayor uso de las encuestas telefónicas automáticas, por lo general lo haces para poblaciones de decenas de miles de personas, lo que hace que el tamaño del universo sea irrelevante. Por este motivo en la calculadora hay una nota que dice: déjalo en blanco si no lo conoces.
Cuando calculas el margen de error sin indicar la población total, se dice que estas calculando el margen de error de una población infinita. Al margen de error calculado con una población total se le denomina margen de error de una población finita. Abajo podrás examinar las fórmulas que se utilizan para hacer ambos cálculos.
¿Qué es el nivel de confianza?
El nivel de confianza indica con qué certeza puedes decir que la realidad está dentro del intervalo que arrojó tu encuesta. Este valor lo verás en algunas fichas técnicas como 1 - alfa igual a 90%, 95%, o 99%. El nivel de confianza más utilizado es 95%.
Hagamos un ejercicio para entenderlo mejor. Con la calculadora de tamaño de muestra obtén la cantidad de casos que necesitas para alcanzar un margen de error de 4%, dejando la población total en blanco, el nivel de confianza en 95%, y la probabilidad de éxito/fracaso en 50%. El tamaño de esta muestra es 600.
Esto significa que si haces una encuesta de 600 entrevistas y los resultados indican que el Candidato Fulano recibiría el 44% de los votos, puesto que el margen de error es ±4%, en realidad estás indicando que los votos estimados que recibirá el Candidato Fulano están entre 40% (44%-4%) y 48% (44%+4%). Este margen de error de 4% lo obtuviste con un nivel de confianza o certeza de 95%, es decir, con un 5% de probabilidades de que la realidad esté fuera del intervalo de confianza que arrojó tu estudio, que es entre 40% y 48%.
Ahora calcula el tamaño de la muestra necesario para alcanzar el mismo 4% de margen de error, pero esta vez con un nivel de confianza de 99%. Encontrarás que necesitarías 1,037 entrevistas para alcanzar el mismo margen de error de 4%. En otras palabras, necesitarías 437 casos adicionales para tener una certeza del 99%, y poder decir que solo existe un 1% de probabilidades de que el Candidato Fulano no reciba entre 40% y 48% de los votos.
¿Qué es la probabilidad de éxito/fracaso?
La probabilidad de éxito/fracaso es un valor aproximado de lo que estás midiendo y que conoces antes de hacer el estudio. Si tienes una idea de cuál es el valor esperado puedes obtener un mismo margen de error con menos casos.
Por ejemplo, digamos que estás haciendo un estudio para determinar qué porcentaje de una población votará en las próximas elecciones, y los resultados de varias elecciones anteriores indican que este valor ronda el 70%. Si utilizas la calculadora para obtener el tamaño de la muestra necesario para alcanzar un margen de error de 3% con una probabilidad de éxito/fracaso de 70%, dejando la población total en blanco y el nivel de confianza en 95%, obtendrás que necesitarías 896 casos.
Si no quieres aventurarte a decir cuál es el valor esperado o no tienes información previa, debes utilizar una probabilidad de éxito/fracaso de 50%, que tal vez has visto en la ficha técnica de alguna encuesta como p = q = 0.5. Cuando utilizas una probabilidad de éxito/fracaso de 50% obtienes el tamaño de la muestra más grande necesaria para alcanzar el margen de error que deseas. Siguiendo el ejemplo anterior, con una probabilidad de éxito/fracaso de 50% necesitarías 1,067 entrevistas, es decir, 171 casos adicionales para alcanzar el mismo 3% de margen de error.
Casi siempre verás en las fichas técnicas de las encuestas la frase “siendo p = q = 0.5”, lo que simplemente quiere decir “utilizamos la muestra más grande necesaria para obtener el margen de error que indicamos aquí”. Rara vez utilizarás una probabilidad de éxito/fracaso distinta al 50%.
Fórmula para calcular el margen de error de una población infinita
Cuando la población total es grande, de varias decenas o cientos de miles de personas, el impacto del tamaño del universo en el cálculo del margen de error es despreciable. En este caso se utiliza la siguiente fórmula para calcular el margen de error de una población infinita.
Donde:
- Z es el puntaje Z y depende del nivel de confianza
- p es la probabilidad de éxito/fracaso
- n es el tamaño de la muestra
Nota: algunas fórmulas reemplazan (1-p) con la letra q. Es por lo que habrás visto p = q = 0.5 en fichas técnicas que indican un 50% de probabilidad de éxito/fracaso.
El puntaje Z depende del nivel de confianza que hayas escogido. La siguiente tabla enumera los puntajes Z correspondientes a algunos niveles de confianza. El nivel de confianza más utilizado es el 95% y el puntaje Z correspondiente es 1.96.
| Nivel de confianza | Puntaje Z |
|---|---|
| 80% | 1.2816 |
| 85% | 1.4395 |
| 90% | 1.6449 |
| 95% | 1.9600 |
| 96% | 2.0537 |
| 98% | 2.3263 |
| 99% | 2.5758 |
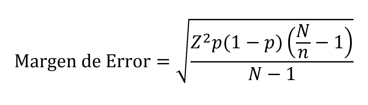
Fórmula para calcular el margen de error de una población finita
La siguiente fórmula se utiliza para calcular el margen de error de una población finita, es decir, cuando conoces el tamaño del universo y es pequeño, de unos pocos cientos o miles de personas.
Donde:
- N es el tamaño del universo
- Z es el puntaje Z y depende del nivel de confianza
- p es la probabilidad de éxito/fracaso
- n es el tamaño de la muestra



